2024辽宁高考各科答案及试卷(含语文、数学、英语等)
2024年辽宁高考时间为6月7日至9日,历时三天。考试科目包括语文、数学、英语、物理、历史、化学、地理、政治和生物等九科。每科考试结束后,陈老师将及时整理上传各科答案及试卷,便于同学们在高考结束后预估考试分数。

一、2024辽宁高考考试安排
根据辽宁教育考试院公布的时间表,2024年辽宁高考于6月7日至9日举行。
2024年辽宁高考各科目的具体安排如下:
| 2024年辽宁高考时间安排 | ||
|---|---|---|
| 日期 | 上午 | 下午 |
| 6月7日 | 9:00-11:30 语文 | 15:00-17:00 数学 |
| 6月8日 | 9:00-10:15 物理/历史 | 15:00-17:00 英语 |
| 6月9日 | 8:30-9:45 化学 | 14:30-15:45 政治 |
| 11:00-12:15 地理 | 17:00-18:15 生物 | |
二、2024辽宁高考各科答案及试卷
1.2024年辽宁高考语文答案及试卷
考试时间:6月7日上午09:00 - 11:30
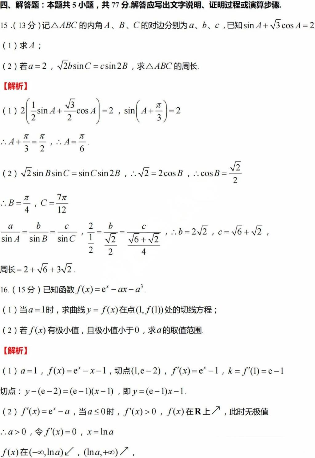
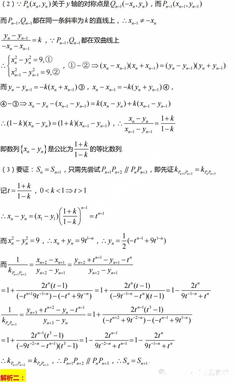
答案及试卷解析:2024年辽宁高考语文答案及试卷真题将在考试结束后及时上传更新,同学们可以及时核对答案,了解考试情况。
2.2024年辽宁高考数学答案及试卷
考试时间:6月7日下午15:00 - 17:00
答案及试卷解析:2024年辽宁高考数学答案及试卷真题将在考试结束后第一时间整理上传,确保同学们能够及时回顾考试内容,预估考试成绩。














3.2024年辽宁高考英语答案及试卷
考试时间:6月8日下午15:00 - 17:00
答案及试卷解析:2024年辽宁高考英语答案及试卷真题将在考试结束后及时更新,便于大家核对英语答案,预估考试分数。
4.2024年辽宁高考物理答案及试卷
考试时间:6月8日上午09:00 - 10:15
答案及试卷解析:2024年辽宁高考物理答案及试卷真题将在考试结束后以最快速度更新,为同学们提供及时有效的估分支持。
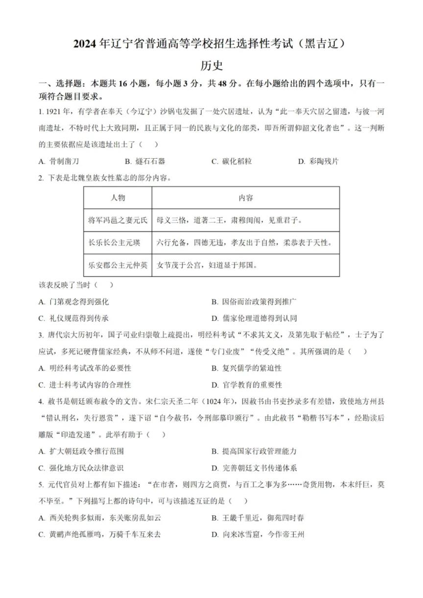
5.2024年辽宁高考历史答案及试卷
考试时间:6月8日上午09:00 - 10:15
答案及试卷解析:2024年辽宁高考历史的答案及试卷真题将在考试结束后及时更新,以便大家能够及时参考估分。







6.2024年辽宁高考化学答案及试卷
考试时间:6月9日上午 08:30 - 09:45
答案及试卷解析:2024年辽宁高考化学的答案及试卷真题将在考试结束后及时更新,确保同学们能够及时核对化学答案,预估化学成绩。
7.2024年辽宁高考地理答案及试卷
考试时间:6月9日上午11:00-12:15
答案及试卷解析:2024年辽宁高考地理答案及试卷真题将在考试结束后迅速更新,帮助同学们回顾考试情况,参考估分。
8.2024年辽宁高考政治答案及试卷
考试时间:6月9日下午14:30-15:45
答案及试卷解析:2024年辽宁高考思想政治答案及试卷真题将在考试结束后上传到本文,同学们可以参考核对答案,预估思想政治考试成绩。
9.2024年辽宁高考生物答案及试卷
考试时间:6月9日下午17:00-18:15
答案及试卷解析:2024年辽宁高考生物答案及试卷真题将在考试结束后第一时间整理上传,为同学们预估生物成绩,提供参考支持。
本文由用户或第三方发布,不代表本站观点,仅供信息阅读。
本站部分文章来自网络或用户投稿。涉及到的言论观点不代表本站立场。阅读前请查看【免责声明】发布者:学习君,如若本篇文章侵犯了原著者的合法权益,可联系我们进行处理。本文链接:https://www.sxhanhai.com/senior/gaokao/133469.html
